The Properties of Matrices
Goal: For the students to recognize the properties of matrices and to find the inverse of the matrix. |
Algebraic Properties of Matrix Operations
In this page, there are some general results about the three operations: addition(subtraction), multiplication, and scalar multiplication.
From now on, we will not write m-by-n but mxn.
<Properties involving Addition>
Let A, B, and C be mxn matrices. We have:
1. A+B = B+A (commutative property)
2. (A+B) + C = A + (B+C) (associative property)
3. A + O = A where O is the mxn zero-matrix (all its entries are equal to 0) (the identity of addtion)

4. A+B = O if and only if B = -A. (the inverse of addition)
<Properties involving Multiplication>
1. Let A, B, and C be three matrices. If you can perform the products AB, (AB)C, BC, and A(BC), then we have:
(AB)C = A (BC). (associative property)
Note, for example, that if A is nxm, B is mxk, and C is kxl, then the above products are possible (in this case, (AB)C is nxl matrix).
2. If
and
are real numbers, and A is a matrix, then we have:
![]()
3. If
is a real number, and A and B are two matrices such that the product
is possible, then we have:
![]()
4. If A is an nxm matrix and O the mxk zero-matrix, then AO = O.
Note that AO is the nxk zero-matrix. So if n is different from m, the two zero-matrices are different.
5. In general,
when the product AB and BA are possible. Thus, multiplication of matrix is not commutative.
<Properties involving Addition and Multiplication>
1. Let A, B, and C be three matrices. If you can perform the appropriate products, then we have:
(A+B)C = AC + BC
and
A(B+C) = AB + AC (distributive properties)
2. If
and
are real numbers, A and B are matrices, then we have:
![]()
and
![]()
There is a worksheet for multiplication.
<Identity and Inverse of Matrix>
- Identity Matrix
We have seen that matrix multiplication is different from normal multiplication (between real numbers). Are there some similarities? For example, is there a matrix which plays a similar role as the number 1?
(i.e., when
is a real number,
x1=1x
=
.)
The answer is yes. Indeed, there is a matrix which plays like the number 1 considering the nxn matrix.

In particular, we have:

The matrix In has similar behavior as the number 1 in multiplication. For any nxn matrix A, we have:
![]()
The matrix In is called the Identity Matrix of order n (the identity of multiplication).
We can consider having the identity of multiplication as one of properities involving multiplication.
The identity matrix behaves like the number 1 not only among the matrices of the form nxn. Indeed, for any nxm matrix A, we have:
In particular, we have:

- Inverse Matrix
Definition. An nxn matrix A is called nonsingular or invertible iff there exists an nxn matrix B such that
![]()
where In is the identity matrix. The matrix B is called the Inverse matrix of A.
We can consider having the inverse of multiplication as one of properities involving multiplication.
Notatio: A common notation for the inverse of a matrix A is
. So:
![]()
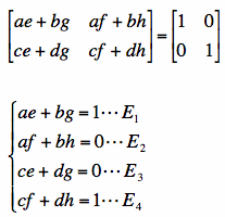
Let's find the inverse of
.
Let
.
Since
, we get

![]()

From E2, we can get:
.
Plug this into E4.

From E3, we can get:

Plug this into E1.

So, we can also find e and f by plugging g and h.

Thus, there is the inverse of A

Therefore, we can present :

The inverse matrix is unique when it exists. So if A is invertible, then
is also invertible and ![]()
The following basic property is very important: If A and B are invertible matrices, then AB is also invertible and ![]()
Since
, we can know that
.